 |
 |
 |
 | New insights into one-norm solvers from the Pareto curve |  |
![[pdf]](icons/pdf.png) |
Next: Geophysical example
Up: Comparison of one-norm solvers
Previous: Solution paths
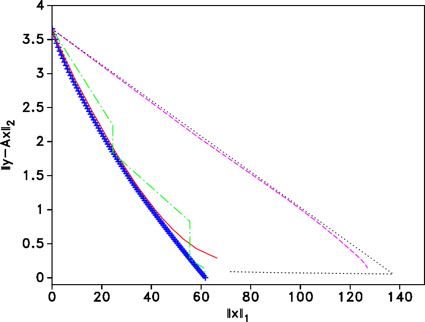
In geophysical applications, problem sizes are large
and there is a severe computational constraint. We can use the
technique outlined above to understand the robustness of a given
solver that is limited by a maximum number of iterations or
matrix-vector products that can be performed.
Figure 3 shows the Pareto curve and the solution
paths of the various solvers where the maximum number of iterations is
fixed. This roughly equates to using the same number of matrix-vector
products for each solver. Whereas SPG
continues to provide a
fairly accurate approximation to the BP
solution, those computed
by IST, ISTc, and IRLS suffer from larger errors. IST stops before
the effect of the one-norm regularization kicks in; hence the data
misfit at the candidate solution is small but the one norm is
completely incorrect. ISTc and IRLS accumulate small errors along
their paths because there are not enough iterations to solve each
subproblem to sufficient accuracy. Note that both solvers accumulate
errors along both axes.
|
|---|
plot_Lim
Figure 3. Pareto curve and optimization
paths (same, limited number of iterations) of four solvers for a
BP
problem (see Figure 2 for legend).
|
|---|
|
|---|
 |
 |
 |
 | New insights into one-norm solvers from the Pareto curve |  |
![[pdf]](icons/pdf.png) |
Next: Geophysical example
Up: Comparison of one-norm solvers
Previous: Solution paths
2008-03-09